近几年,“瘦肉精”这个词汇再次进入了公众的视线。这种屡禁不止的添加剂,引起了大家对肉类食品安全的广泛担忧。“瘦肉精”究竟是何方神圣,又究竟会对人体造成怎样的危害呢?
实际上并没有一种具体的物质叫做“瘦肉精”,就像没有一种具体的东西叫作“糖替代品”一样。任何能够抑制动物脂肪生成,促进瘦肉生长,增加牲畜瘦肉量的物质都可以称为“瘦肉精”。目前已经知道的“瘦肉精”有很多种,多数的确对人体有害,所以在世界上几乎所有国家都被禁止使用。国内使用的“瘦肉精”大多是盐酸克仑特罗,就是典型的一种。
20世纪80年代初,美国Cyanamid公司意外发现盐酸克仑特罗有明显的促进生长、提高瘦肉率及减少脂肪的效果,于是其被畜牧业作为瘦肉精使用。但世界没有任何正规机构批准克伦特罗作为饲料添加剂用于动物促生长。该药物既不是兽药,也不是饲料添加剂,而是肾上腺类神经兴奋剂。这种物质毒性不算太强,常规剂量下至少没什么生命危险,同时疗效也很好,只需要几十微克就能缓解症状。不过,它也有很多副作用,包括肌肉震颤、电解质紊乱、恶心呕吐、头痛、心悸等等,长时间使用时副作用更为明显。不止如此,由于它会增加心脏负担,对于本身心脏基础状况不好的人而言,还可能诱发或加重心脏疾病。这些副作用并不是克仑特罗的专利,其他同类的药物,比如沙丁胺醇,在口服使用时也或多或少存在类似的问题。
由于这类药物口服的副作用较多,现在它们已经逐渐被安全系数高得多的吸入制剂取代,作为口服药的克仑特罗也逐渐淡出了哮喘治疗的舞台。但在另一方面,人们又发现它能促进蛋白质合成,增加猪的瘦肉率。饲喂了克仑特罗的猪更“健美”,成长得也快,这对商家而言无疑是个好消息,因此它被广泛地作为饲料添加剂使用。
![]() |
![]() |
| 健康的猪肉 | |
![]() |
![]() |
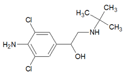
| 瘦肉精 | 盐酸克伦特罗结构简式 |
克仑特罗使得猪肉生产获得了速度与质量的双丰收,但安全性问题也随之而来。肉猪服用克仑特罗的时间比治疗哮喘发作的用药时间长得多,剂量也更大,而它在动物体内的清除又比较慢(体内的克仑特罗清除一半需要三十多个小时),这就造成屠宰时仍有相当大量的克仑特罗残留在猪的体内。克仑特罗比较稳定,即使经过烹调,仍有很大一部分残留,因此吃了这样的肉就可能引发上述的一系列药物副作用,甚至造成过量中毒。第一个吃了用含盐酸克仑特罗饲养的动物而导致中毒的案例发生在西班牙,时间是1990年,有43个家庭的135名成员在一次吃了牛肝后,发生集体食物中毒。其后法国和意大利等国亦发生类似中毒事件。我国1998年在香港首次发现因食用猪内脏引起的中毒事件,以后其他省市亦接连不断发生。2001年8月和 11月仅广东省的河源市和信宜地区就发生两起集体中毒事件,人数达1,014人之多(分别为530人和484人)。如此的中毒事件已经多次发生,例如2006年发生在上海的“瘦肉精”中毒事件,影响了上海市九个区,共造成三百余人克仑特罗中毒。因此,包括美国、欧盟国家、中国在内的大多数国家都已对饲料添加克仑特罗亮了红灯。
除克仑特罗以外,还有其他一些物质可以作“瘦肉精”使用,例如在美国等一些国家可以合法添加的莱克多巴胺。莱克多巴胺和克仑特罗的作用原理类似,但不容易在动物体内蓄积,毒性也更小。目前科学研究认为,只要最终肉类制品中的莱克多巴胺含量低于一定标准,就可以放心使用。不过,仍有很多国家(包括中国和欧盟国家)对这种较安全的“瘦肉精”也加以禁止。
其实,通过添加化学物质增加瘦肉率这种做法本身并没有什么错,但前提是一定要确保安全。政府与监管部门应对此持谨慎态度,对已经证明有害的物质加强检验与管理,对安全性尚不明确的物质进行安全性评价,以避免可能的伤害。
对于我们一般人而言,则可以通过随时关注质检信息、从正规渠道购买肉类制品来避免“瘦肉精”猪肉。如果怀疑自己吃了“瘦肉精”猪肉,也不用太过担心。这类物质造成的不适症状一般比较轻,只要到及时到医院就诊,经过治疗之后就可以缓解。




