西南喀斯特地区地下水系统管道裂隙高度发育,导致地下水边界难以确定,基于流域面积的传统水文观测和研究方法存在局限。随着同位素水文学的发展,氢氧稳定同位素技术在确定地下水连通性、滞留时间、补给和运移路径等领域广泛应用,其示踪特性使其在喀斯特地区特殊的水文过程研究中具有明显优势。
近期,中国科学院亚热带农业生态研究所环江喀斯特站生态修复研究团队博士生胡可在陈洪松研究员和王克林研究员的指导下,以位于中国广西环江县的地下水系较为封闭的木连喀斯特小流域为研究对象,利用氢氧稳定同位素技术和流量自动监测技术,结合野外实地调查和集总式水文模型,分析了研究区大气降水、土壤水、地表水和表层岩溶水的氢氧稳定同位素季节变化规律,阐明了土壤层和表层岩溶带的平均水分滞留时间和季节补给规律。
研究的主要结论如下:
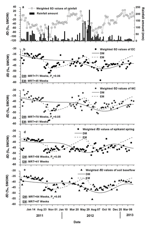
(1)表层岩溶泉、土壤基流水和溪水的补给主要来自雨季降雨,且表层岩溶带比土壤基流水和溪水都含有更多的雨季降雨,反映了洼地深厚土壤对降雨补给的截留和蓄存作用。
(2)弥散模型在该喀斯特小流域有较好的适用性。相对于坡脚而言,洼地土壤水拥有较浅的阻尼深度,暗示了洼地土壤层发挥阻滞和平缓下伏岩石带补给过程的主要作用。
(3)小流域降雨响应迅速,但产流较少且水分大部分需要流经表层岩溶带后排泄,揭示了表层岩溶带在小流域水循环中扮演着过渡带和缓冲带的角色。
(4)表层岩溶泉的水分滞留时间为56周,短于溪水和基流水。溪水大部分来自于表层岩溶带,证明了白云岩地区表层岩溶带较高的水分蓄持能力和对快速水文过程的延缓功能。
该研究能为西南喀斯特地区有限水资源的合理配置提供科学依据,同时也为在复杂地质背景下开展流域水文过程研究提供了方法上的参考。上述研究成果以Seasonal recharge and mean residence times of soil and epikarst water in a small karst catchment of southwest China为题发表在Scientific Reports上。该研究得到了中国科学院西部行动计划、国家重点基础研究发展计划、国家自然科学基金项目的资助。
论文链接:1

图1 大气降水(a)、溪流水(b, c)、表层岩溶水(d)和土壤基流水(e)的氘同位素季节变化规律及其模型拟合效果
