在多年生草本植物占优势的生态系统,如草地和沼泽湿地,刈割或牧食造成的去叶是一种常见的干扰。在这些生态系统中,通过地下芽库种群中芽的萌发产生分蘖是植物对刈割响应的重要机制之一。但是,有关湿地克隆植物如何调整芽库统计特征从而调控种群动态对去叶干扰做出响应还缺乏报道。
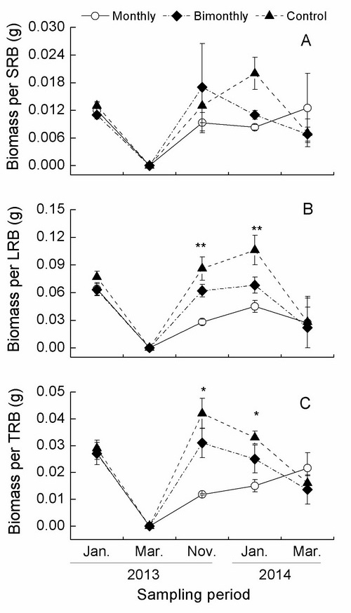
基于此,中国科学院亚热带农业生态研究所洞庭湖湿地生态研究团队以洞庭湖优势湿地植物短尖苔草为研究对象,通过连续2年的野外定位实验,发现连续刈割(每月一次或每两月一次)并没有显著降低短尖苔草的分蘖和根茎芽的密度,也没有显著改变地下芽库的组成,即长根茎芽和短根茎芽的比例。但是,在连续刈割条件下,短尖苔草的分蘖高度以及地上、根和根茎的生物量显著下降。结果表明芽库是一种保守的繁殖策略,使短尖苔草能够忍耐一定程度的刈割。在连续刈割后保持一个大的芽库能够使短尖苔草种群在干扰生境中再生和持续。但是从长期看,由于根茎和植株储存的碳量下降,短尖苔草的芽库密度可能会下降。
短尖苔草是洞庭湖湿地越冬候鸟的重要食物来源,也是湖区放牧牲畜取食的主要植物之一。该研究结果对湿地植物资源利用和湿地管理提供了一定理论依据,相关论文发表在Frontiers in Plant Science。
该研究得到了国家自然科学基金和院领域前沿项目的支持。
论文链接:1

图1. 连续收割对短尖苔草长根茎芽、短根茎芽和总根茎芽生物量的影响
附件下载:
