稻田是重要的温室气体排放源,其中甲烷(CH4)排放对稻田总温室效应贡献在75%以上。稻田排放的CH4占到全球CH4排放的12%,减少稻田CH4排放对减缓全球温室气体排放具有重要意义。生物质炭是有机材料在少氧或无氧条件下裂解产生的一类含碳量高、疏松多孔的物质。生物质炭在农田上的施用具有增加土壤碳固持、减少温室气体排放、提高土壤肥力和增加作物产量的效果。中国科学院亚热带农业生态研究所土壤生态与环境课题组基于前期研究发现,双季稻田一次性施用生物质炭,能够显著增加稻田碳储量,且在四年内持续降低稻田CH4累积排放达20-51%,并小幅增加水稻产量。然而有关生物质炭降低CH4排放的物理化学及生物学机制却不清楚。
为阐明生物质炭降低CH4的物理化学机制,课题组研究人员通过构建基于生物地球化学过程的CH4排放生物物理模型模块,并将之与水氮管理模型(WNMM)相结合,较好的模拟了施用生物质炭下稻田CH4排放及环境因子动态。模拟研究结果表明,生物质炭施用改善了土壤通气性,提高了土壤氧化还原电位,从而降低了甲烷排放。
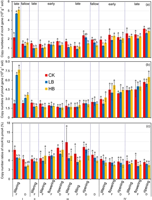
针对生物质炭降低CH4排放的微生物学机制是否会随生物质炭的老化而出现改变这一科学问题,课题组研究人员连续监测了生物质炭施用后4年土壤产甲烷菌和甲烷菌丰度的变化。研究发现,与不施生物质炭的对照处理相比,生物质炭施用第一年,由于生物质炭本身的无机氮和可溶性有机碳的输入,土壤产甲烷菌和甲烷氧化菌丰度均显著增加,但产甲烷菌/甲烷氧化菌丰度比值下降;生物质炭施用后的第2-4年,生物质炭处理额外增加的无机氮和可溶性有机碳已耗竭,土壤产甲烷菌丰度显著下降,甲烷氧化菌丰度变化不显著,而产甲烷菌/甲烷氧化菌丰度比值仍下降。产甲烷菌和甲烷氧化菌的群落结构也随生物质炭施用出现了显著变化。该研究表明生物质炭的老化显著改变土壤产甲烷菌和甲烷氧化菌的丰度及其群落组成,长期试验表明生物质炭施用减排稻田CH4的微生物机制主要是因为生物质炭施用后甲烷氧化菌相较于产甲烷菌其活性未受到抑制,从而使得产甲烷菌/甲烷氧化菌丰度比值下降。这些研究成果的取得,为稻田施用生物质炭来进行固碳减排提供了科学依据。
研究成果发表在Soil Biology & Biochemistry、Agriculture Ecosystems & Environment和Environmental Pollution。研究工作得到国家重点研发计划、国家自然科学基金和中国科学院青年创新促进会资助。

图1 施用生物质炭稻田CH4累积排放

图2 模型模拟的秸秆和生物质炭还田稻田CH4排放

图3 施用生物质炭后四年内产甲烷菌、甲烷氧化菌丰度及其比值的动态变化
