退耕还林还草是西南喀斯特地区石漠化治理和生态恢复的重要举措。随着植被恢复进程的推进,石漠化地区土壤表层形成了约1cm厚的苔藓层,但其对下覆微生物群落和土壤理化性质及其关联的土壤碳氮积累的影响尚不清楚。
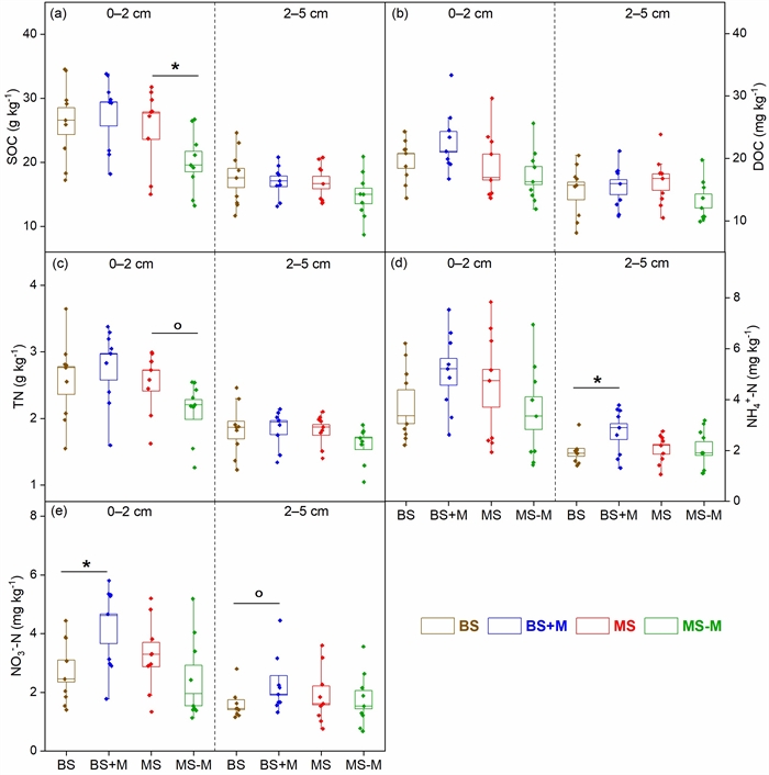
基于此,以西南喀斯特峰丛洼地区三种典型人工植被恢复方式(单一人工林、单一牧草地、人工林间作牧草)长期观测样地为研究对象,通过苔藓移植和剔除处理,以无苔藓覆盖裸土和苔藓覆盖土壤为对照,分析了自然苔藓、移植苔藓和剔除苔藓对土壤碳氮指标、土壤微生物群落和土壤理化性质的影响。结果表明:(1)试验处理一年后,移植苔藓增加了表层土壤可利用氮(铵态氮、硝态氮)含量,剔除苔藓减少了表层土壤有机碳含量和全氮含量。(2)自然苔藓、移植苔藓和剔除苔藓都不同程度地减少了土壤微生物的生物量并影响了土壤微生物群落组成(真菌与细菌比、革兰氏阳性细菌与革兰氏阴性细菌比)。(3)苔藓性质(生物量、碳氮含量、碳氮比、饱和持水量),以及受苔藓调控的土壤含水量、土壤微生物的生物量和群落组成均是影响土壤碳氮积累的重要因子。
在亚热带生态所王克林研究员和张伟研究员指导下,博士研究生肖露梅为第一作者,该研究以Mosses stimulate soil carbon and nitrogen accumulation during vegetation restoration in a humid subtropical area为题,发表在土壤学领域一区Top期刊Soil Biology and Biochemistry上。该研究得到国家自然科学基金重点基金、国家自然科学基金联合基金、广西自然科学基金等项目的资助。

苔藓移植和剔除示意图

苔藓处理对土壤碳氮含量的影响

影响土壤碳氮含量因子
附件下载:
