近日,中国科学院亚热带农业生态研究所环江喀斯特生态系统观测研究站王克林研究员团队在西南喀斯特草地生态系统菌根真菌对外源氮输入的响应获得新进展。
我国是世界上喀斯特面积最大的国家,不合理的土地利用导致该区养分快速丢失,植被演替初级阶段普遍处于“氮限制”状态。外源氮(N)输入是生态系统氮限制消减的重要途径,而土壤丛枝菌根真菌(AMF)能有效增加植物对N和磷(P)等矿质养分的吸收和转运。目前,喀斯特草地土壤AMF对N输入的响应及其效应仍不清楚。
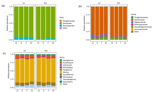
基于此,以典型喀斯特自然草地生态系统为研究对象,通过模拟N沉降(N:100 kg N ha-1 yr-1;P:50 kg P ha-1 yr-1)和引种不同密度豆科固氮灌木(紫穗槐和深紫木蓝)试验,研究了AMF丰度、多样性和群落结构的响应特征。 研究结果发现,Glomus是喀斯特地区的优势种属(图 3)。不同的季节显著影响AMF群落组成与结构,AMF多样性在生长季(夏季)低于非生长季(冬季),但是AMF丰度呈现相反的响应方式。在生长季,N添加显著增加AMF丰度,而P添加显著提高AMF多样性(图 1,2)。但是,N和P的添加没有显著改变AMF的群落结构(图 3)。对于固氮灌木的种植,不同豆科植物和种植密度的交互作用显著影响AMF丰度和群落结构。在生长季,低密度种植固氮灌木显著提高AMF丰度,而高密度种植深紫木蓝显著减少AMF丰度(图 4)。不同途径(沉降N和生物固N)N输入通过影响土壤可利用性养分改变AMF群落。研究结果说明:N输入会加剧喀斯特草地土壤P营养的相对不足,草丛群落通过改善土壤AMF群落提高P的吸收。在喀斯特退化区域植被恢复过程中,豆科固氮植物引入与菌根真菌群落对提升生态系统养分有效性具有重要潜力。这些研究为脆弱生态系统的恢复和农业生态系统优化管理提供理论基础和数据支撑。
以上研究成果近期以Arbuscular mycorrhizal fungi abundance was sensitive to nitrogen addition but diversity was sensitive to phosphorus addition in karst ecosystems和Effects of different legume species and densities on arbuscular mycorrhizal fungal communities in a karst grassland ecosystem为题分别发表在Biology and Fertility of Soils和Science of the Total Environment上。研究得到国家重点研发项目、国家自然科学基金、中科院青年创新促进会、中科院亚热带农业研究所青年创新团队项目的资助。

图1 AMF丰度和多样性对自然草地N和P添加的响应

图2 自然草地N和P添加下不同季节AMF群落结构的差异

图3 自然草地N和P添加对AMF群落结构的影响

图 4 AMF丰度、多样性和群落结构对不同豆科灌木和种植密度的响应
